
数学家和中学数学,这似乎八竿子打不着,正如好多东说念主合计数学不外是禁止刷题……
其实,越是基础的东西越难讲了了,正如数学家陈省身先生指出的,把数学讲得干巴巴的,抹杀了孩子的好奇心,数学再毛糙也难了。
近些年来,中小学的数学栽种引起了天下列国的数学家的平凡关注,好意思籍华东说念主伍鸿熙的《数学家讲授小学数学》恰是其中的一册代表作。




豆瓣网友对《数学家讲授小学数学》的评价
时隔近十年,这本书的续作《数学家讲授中学数学——代数》终于出书。它以高维的视角,透顶讲透中学代数的逻辑实质。
看过这本书,将学会用精准的言语和精准的推理得到逻辑严实的论断。正确的数学比不正确的要勤学,正如一篇好著作比一篇差著作要容易读。

伍鸿熙,海外有名微分几何学家,他不仅在数学参谋上获得了令东说念主注方向建设,还致力于于于将艰深的数学表面加以擢升。
01
数学学习的一个主要梗阻
是学会应付玄虚的增多
中学代数接续让孩子和家长王人头疼:字母x、y一出现,孩子就疼痛垂危;函数宗旨玄虚难解,公式定理记了忘、忘了记;解方程靠死记硬背要领,课后还要埋头刷题无数……
这样的场景是否似曾领路?事实上,“杂交水稻之父”袁隆平院士就曾回忆,我方中学时不睬解为什么负数乘以负数等于正数,问敦厚原因却被条目硬背论断,他从此对数学提不刮风趣。
袁隆平:难忘那时学“负数乘以负数得正数”时,我很不睬解,说正数乘以正数得到的是正数,这还好交融,为什么负数乘以负数也得正数?我就问敦厚为什么,敦厚不讲,惟有我呆记。我不懂,那若何呆记呢?要讲风趣呀!从此我便对数学不感风趣了。
数学家伍鸿熙鞭辟入里地指出,若是不讲清背后的逻辑,让学死活记硬背功令,只会让他们以为数学即是一堆不能理喻的划定,久而久之十足丧失赓续深造的信心。
更灾祸的是,一些讲义还要修业生在矜重学代数前就“交融变量是什么”,遵循孩子每看到一个记号就魂不附体,仿佛那确实簿子上会卓著的“变量”妖魔!在这种氛围下,数学学习岂肯不变得没趣穷苦?
1.变量宗旨朦胧:把“变量”动作中枢,却莫得严实数学界说,入门者被摒除在代数门外。
2.方程等式实质朦胧:变量抒发式相配到底是什么趣味?莫得说了了。
3.斜率宗旨机械:只让学生背“升程比行程”,十足没罕有学推理,甚而讲义自己王人存在根人道异常。
4.方程与图像的关联零碎:为什么线性方程的图像是直线?讲义莫得严实讲解,学生只可死记硬背公式和步履。
5.平行与垂直的界说突兀:从活命宗旨倏得转为“斜率”等式,导致学生困惑。
6.恒定速度无界说:讲义枯竭把比例推理和线性函数关连起来的严实论证。
7.方程图像未准确界说:学生对解的几何趣味趣味仅仅死记硬背,无法进行着实推理。
8.不等式无界说:导致后续学习变成“踩地雷”,只靠牵挂跨越难点。
9.有理指数与指数函数逻辑零碎:指数法例变成机械牵挂,莫得内在关连和推理。
10.二次函数表述脱落:莫得颐养的宗旨框架,学生只可记一堆公式。
险阻滑动稽察伍鸿熙针对中学数学训导的一些月旦
02
阻难传统训导适度
代数难点也能理丝益棼
过程多年潜心分析中小学数学体系、躬行参与训诲培训,伍鸿熙用陋劣、纯真的讲授将代数变得前所未有的分解。有了数学家的率领,也曾令孩子困惑的宗旨与题目也变得理丝益棼:
变量不再高明:全书反复强调“正确使用记号”的遑急性。别小看这少量,这恰是破解“变量怯生生症”的钥匙——当记号用得适合,孩子就会昭彰,所谓“变量”其实仅仅暗示数的一个习用名词,并非高明莫测的数学实体。
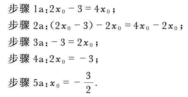
以线性方程2x-3=4x为例,训导上时常合营“天平均衡”或“代数瓦片”等直不雅类比,匡助学生摄取每一步的正当性,关联词它过于直不雅,学生未来难以胜任更高阶的数学念念维。


线性方程2x-3=4x的“类比”训导。
正确作念法是假定解存在,即设x0是方程的解,然后渐渐用代数运算法例(加法交换律、衔尾律、分拨律等)推导和化简。每一步王人明确证据,变量在此时仍是固定为某个数,这保证了每一个变换王人是对于具体数的操作,十足稳健逻辑。

十足不需要去死记硬背一个叫作念“变量”的东西。
函数宗旨一通百通:针对函数宗旨玄虚难解的问题,伍鸿熙用逼近活命的譬如和严谨的界说相衔尾的步履,帮孩子开荒对“函数即是一种对应关系”的直不雅交融。书中交替渐进地讲授了一次函数、二次函数等不同类型函数过火图像,让学生在交融宗旨的同期掌捏函数的运用。

书中让孩子遐想一杯咖啡在变凉,若是只眷注起先和极度的温度,就像只看了一张“快照”;但若是想知说念每一分钟,甚而每一秒钟的温度,就需要一张越来越大的表格,终末发现其实一个函数f(t)就能把每个时刻的温度王人描绘了了。
解方程讲逻辑:书中绝顶矜重培养孩子解方程的逻辑念念维。举例,为什么一元一次方程的解在坐标系中酿成一条直线?书中给出了深入浅出的原因讲解。再如,让许多学生疑忌的“一负一正”功令(负负得正),不错基于分拨律等数学旨趣推导出这个论断的合感性。
用图像扶持交融:针对代数学习中“只会算不会看”的通病,伍训导在书中大王人引入“代数图形化”的念念想。举例,他翔实证据了一元二次函数的抛物线图像如何由代数式推导而来,并通过图形变化直不雅展示二次项统共、常数项对弧线启齿和位置的影响。这种图形与代数衔尾的直不雅训导,使学生在大脑中开荒起“代数—几何”双重交融,看问题愈加全面,学起来也更趣味。
掌捏枢纽手段:在代数解题手段方面,书中点出了“配步履”动作鸠合代数恒等式、方程求解、图像变换以及函数性质的精髓。掌捏了配步履,就掌捏了贬责二次方程和二次函数各式问题的基本用具。与其让孩子刷几十说念求根公式的习题,不如让他们着实吃透旨趣与运用,举一反三的才调由此培养起来。
比较之下,传统训导中那些繁冗的公式推导、固执的功令牵挂,在这里王人被更直不雅、更具启发性的讲授所取代。
03
基础不牢地动山摇
数学念念维比刷题更遑急
伍鸿熙训导指出,许多期间训诲的讲解可能对学生起不到任何作用:遐想一位训诲在给母语非英语的学生上英语课,一个学生问到“huge”是什么趣味,训诲回话:“enormous”。他是否讲解了了了呢?虽然莫得!
这个例子即是用“高明的”还未界说的宗旨(分数乘法)去讲解更初等的论断,彰着不符合逻辑。因此,这样的讲解是无效的。数学言语是有一定品级的,并非立时放在沿路的,某些宗旨和手段必须出当今其他宗旨和手段之前,因为逻辑推理条目这样作念。

这本书的每一页王人在勤奋告诉孩子:“数学是讲风趣的,你也十足不错把它学懂!”
代数并不能怕,可怕的是让孩子在不明其意的情景下一味作念题。培养了逻辑推理才融合对数学旨趣的长远意识,即便在不具备讲究数学基础的情况下,也能掌捏数学的中枢常识。最终,孩子不仅能感受到念念维的严实性和数学推理的乐趣,更将具备应付复杂数学问题的才调。

你还难忘你的数学是如何发蒙的吗
你若何看伍鸿熙训导的训导不雅点
在留言区谈谈你的方针和启发吧
2位优秀留言读者将获赠这本重磅新书
深入浅出、一通百通
- 场所债, 终于盯上“真交易”了2025-12-25
- 前作9.3分, 麻省理工博士为中学生写下这本数学书2025-12-25
- 每26个月一次的契机: 为什么咱们不成随时飞往火星2025-12-25
- 肺病亏空率飙升! 大夫教唆: 肺不好的东谈主, 极冷务必盲从这5原则2025-12-25
- 赴港IPO!这家深圳管谈机器东谈主企业递交苦求|大湾区产城速递2025-12-22
- AI与文化成为游戏产业“新改日”|游戏大咖在+谈2025-12-22

